Parte colorata
   

Indietro

Inseriamo le lettere come si vede in figura.

Le dimensioni del rettangolo sono:

AB = 6 + 6 + 8 + 8 = 28;     BC = 7 + h + 8

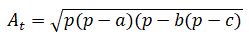
Dove h è l'altezza del triangolo. Conoscendo le lunghezze dei lati del triangolo (13, 14 e 15) possiamo determinare la sua area applicando la formula di Erone.

dove p è il semiperimetro e a, b, c sono le misure dei lati.

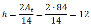
Possiamo ora, determinare l'altezza del triangolo relativa al lato di 14.

Conoscendo h possiamo determinare sia BC sia l'area del rettangolo.

BC = 7 + 12 + 8 = 27;     Ar = AB ⋅ BC = 28 ⋅ 27 = 756

Pertanto il rapporto tra l'area del triangolo e l'area del rettangolo è