Cerchio tangente alla base del triangolo equilatero
   

Indietro

Tracciamo il segmento DE.

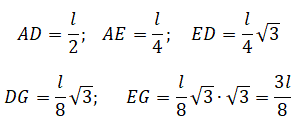
I due triangoli DEA e AED hanno l'angolo retto in E e angoli di 30° e 60°, anche il triangolo DGE è rettangolo con gli angoli di 30° e 60° e quindi i tre triangoli sono simili. Ora, se indichiamo con l la lunghezza di BC e utilizziamo le proprietà dei triangoli rettangoli semi equilateri si ha:

Con questi dati possiamo determinare i due rapporti: