Triangolo equilatero inscritto in un quadrato
   

Indietro

Tracciamo la diagonale del quadrato che incontra il lato del triangolo in G.

Se indichiamo con l la misura del lato del triangolo equilatero si ha:

I triangoli AGE e AGF sono congruenti, isosceli e hanno l'angolo retto in G. Possiamo allora calcolare AE=AF in funzione di AG e quindi in funzione di l.

Anche i triangoli rettangoli EDC e FBC sono congruenti e rettangoli con ED = FB = 1 - AE, cioè:

Se indichiamo con Aq, At, A1, A2, A3, A4 le aree del quadrato e dei triangoli possiamo scrivere:

Aq = At + A1 + A2 + A3 + A4

Cioè

Eseguendo i calcoli si perviene all'uguaglianza:

che ammette le due soluzioni:

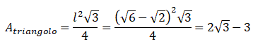
Trovato il valore di l possiamo determinare l'area del triangolo equilatero.