Quattro cerchi interni in un triangolo equilatero
   

Indietro

Tracciamo l'altezza CH del triangolo equilatero e congiungiamo i centri dei tre cerchi.

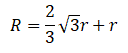
Il triangolo EFD è equilatero di lato 2r, il raggio R del cerchio grande è:

R = OH = OD + DH = OD + r

Il segmento OD è uguale ai due terzi dell'altezza GD del triangolo EFD e quindi possiamo esprimerlo in funzione di r.

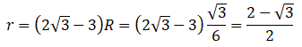
Sostituendo OD nella relazione precedente si ha:

Da cui si può determinare r in funzione di R:

Conoscendo la relazione che lega R con il lato del triangolo equilatero ABC possiamo determinare r.