Indietro
Tracciamo le tre bisettrici e il raggio di un cerchio. Se consideriamo i triangoli rettangoli AHD e ALI entambi con un angolo di 30° si ha: Inoltre, AH = AL + LH cioè: da cui si ottiene:
Tracciamo le tre bisettrici e il raggio di un cerchio.
Se consideriamo i triangoli rettangoli AHD e ALI entambi con un angolo di 30° si ha:
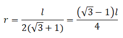
Inoltre, AH = AL + LH cioè:
da cui si ottiene: