Indietro
Tracciamo l'altezza del triangolo ABC. I triangoli ADG e AHC sono simili e quindi possiamo scrivere la proporzione: AD : AH = GD : CH Se indichiamo con x il lato DE del quadrato si ha: Conoscendo AH e CH La proporzione diventa: da cui si ottiene:
Tracciamo l'altezza del triangolo ABC.
I triangoli ADG e AHC sono simili e quindi possiamo scrivere la proporzione:
AD : AH = GD : CH
Se indichiamo con x il lato DE del quadrato si ha:
Conoscendo AH e CH
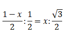
La proporzione diventa:
da cui si ottiene: