Quattro triangoli equilateri in un rettangolo
   

Indietro


Osserviamo la figura:

I triangoli AEO e BOH sono congruenti e isosceli con gli angoli alla base di 30° ne segue che:

AE = EO = ED = BH = HO = CH

Anche i triangoli DOF e COG sono congruenti e isosceli con gli angoli alla base di 30° ne segue che:

DF = OF = FG = OG = CG

Se indichiamo con x e con y le dimensioni orizzontale e verticale del rettangolo e tracciamo le altezze dei triangolo equilateri EOD e OGF

Possiamo osservare che:

  • L'area del rettangolo è:

    Area rettangolo = AB ⋅ BC = xy

  • L'area del triangolo AEO è:

  • L'area del triangolo DOF è:

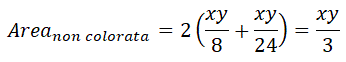
Pertanto la somma delle aree delle parti non colorate è:

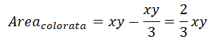
Cosí la somma delle aree colorata è:

E la frazione di area colorata è i 2/3 di quella del rettangolo.