Due triangoli
   

Indietro

Tracciamo l'altezza del triangolo ABC, il raggio r del cerchio circoscritto e il segmento OD.

Conoscendo il lato AB del triangolo equilatero ABC possiamo determinare l'altezza CF e il raggio r del cerchio circoscritto:

Consideriamo il triangolo DFO e tracciamo l'altezza OH relativa al lato DF:

Possiamo facilmente determinare FH e OH essendo il triangolo FHO un triangolo rettangolo con angoli di 30° e 60°:

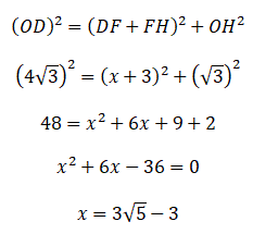
Applichiamo il teorema di Pitagora al triangolo DHO per determinare il lato del triangolo equilatero DEF: