Quattro cerchi in un triangolo equilatero
   

Indietro


Osserviamo la figura:

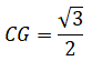
Il triangolo ABC è diviso in quattro triangoli equilateri congruenti DEC, AFD, FED, FBE ciascuno di lato 1 e ogni cerchio è inscritto in uno di questi triangoli. Consideriamo il triangolo DEC; l'altezza CG del triangolo misura:

e essendo il raggio OG un terzo dell'altezza si ha: