Somma delle aree di due quadrati
   

Indietro


Osserviamo la figura:

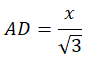
Il triangolo ADE è un triangolo rettangolo con gli angoli di 30° e 60° e quindi possiamo esprimere AD in funzione di x applicando il teorema di Pitagora sapendo che la misura AE è il doppio di quella di AD:

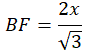
Il triangolo BGF è un triangolo rettangolo con gli angoli di 30° e 60° e quindi possiamo esprimere BF in funzione di 2x applicando il teorema di Pitagora sapendo che la misura BG è il doppio di quella di BF:

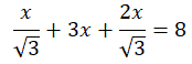
Il lato AB del triangolo equilatero è uguale a:

AB = AD + DF + FB = 8

Cioè:

E risolvendo rispetto a x si ottiene:

Pertanto, la somma delle aree dei due quadrati è: