Due triangoli equilateri in un quadrato
   

Indietro


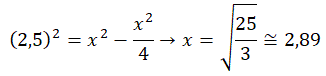
L'angolo in B e l'angolo in C sono entrambi di 30° e quindi il triangolo BCG è isoscele e GH è l'altezza relativa al lato BC. Ne segue, che il triangolo CGH è rettangolo con gli angoli di 30° e 60° e quindi la misura di CG è il doppio di quella di GH. Inoltre, essendo CH la metà di BC misura 2,5. Se indichiamo con x la misura di CG e applichiamo il teorema di Pitagora al triangolo CGH si ottiene: