Tre quadrati in un triangolo equilatero
   

Indietro

Essendo paralleli i lati opposti dei tre quadrati ne segue che i triangoli CDE, CFG, CLM sono equilateri e in particolare il triangolo CDE ha il lato che misura 1 ne segue che l'altezza CS misura:

L'altezza CR = CS + SR del triangolo equilatero CFG misura:

Per cui il lato FG del triangolo CFG misura:

L'altezza CI = CR + RI del triangolo equilatero CLM misura:

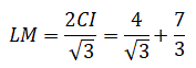
Per cui il lato LM del triangolo CLM misura:

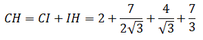
L'altezza CH = CI + IH del triangolo equilatero CAB misura:

Per cui il lato AB del triangolo CAB misura: