Tre cerchi
   

Indietro

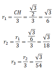
Se tracciamo i segmenti tangenti a due cerchi e paralleli ad AB possiamo vedere che ogni cerchio è inscritto in un triangolo equilatero.

Tenendo conto dei ragionamenti fatti nel quesito precedente sappiamo che il raggio di ogni cerchio è uguale a un terzo dell'altezza del triangolo equilatero in cui è inscritto. Inoltre, sempre dal quesito precedente sappiamo che il raggio del secondo cerchio è un terzo del raggio inscritto nel triangolo ABC. Per la simmetria della figura si intuisce che ogni cerchio successivo è un terzo del raggio del cerchio precedente. Pertanto, si ha: