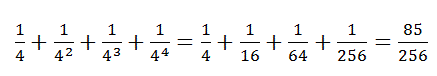
Somma di aree
   

Indietro

Ogni triangolo colorato è un quarto del triangolo non colorato di lato doppio.