Due cerchi
   

Indietro

Tracciamo l'altezza CH relativa al lato AB e il segmento FI tangente ai due cerchi e parallelo ad AB.

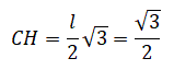
Il segmento CH è sia altezza che mediana del triangolo ABC e misura

Il punto D è sia incentro che baricentro del triangolo e quindi il punto D divide in due parti la mediana che sono una doppia dell'altra. Pertanto, si ha:

CD = 2DH e CD + DH = CH

Da cui si ottiene

DH = CH : 3

Il raggio R del cerchio maggiore è dunque un terzo dell'altezza del triangolo e misura:

Dalla relazione:

Si ottiene:

CG = R

Con lo stesso ragionamento si può affermare che il raggio r del cerchio minore è un terzo dell'altezza CG del triangolo equilatero CFI. Possiamo quindi determinare r in questo modo: