Rapporto tra triangolo e esagono
   

Indietro

Indichiamo con l e l' rispettivamente il lato dell'esagono e del triangolo equilatero. L'area dell'esagono è uguale a:

Se tracciamo il segmento BH si forma il triangolo rettangolo ABH con angoli di 30° e 60° ed essendo l'ipotenusa AB uguale a l il cateto minore è la metà dell'ipotenusa mentre il cateto maggiore è la metà dell'ipotenusa per radice di tre.

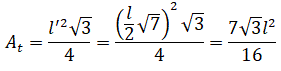
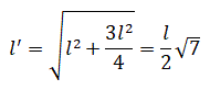
Se consideriamo il triangolo rettangolo FAH possiamo, con il teorema di Pitagora, determinare l' in funzione di l.

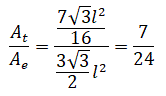
Calcoliamo ora l'area del triangolo equilatero:

Il rapporto tra le due aree è quindi: