Rapporto tra due cerchi
   

Indietro

Indichiamo con l e l' rispettivamente il lato del quadrato e del triangolo. Le due figure hanno lo stesso perimetro e quindi:

4l = 3l'

Pertanto, il lato del triangolo è uguale ai quattro terzi del lato del quadrato. Nel quadrato il raggio r del cerchio circoscritto è la metà della diagonale, invece nel triangolo il raggio r' del cerchio circoscritto è i due terzi dell'altezza.

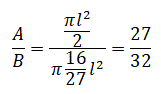
Calcoliamo l'area di A:

Calcoliamo l'area di B:

Il rapporto A/B è: