Esagono
   

Indietro

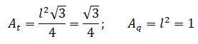
Calcoliamo l'area del triangolo equilatero e l'area di un quadrato:

I triangoli CDG, BFI, AEH sono congruenti, isosceli con i lati uguali lunghi 1 e con un angolo di 120°. Se tracciamo l'altezza CJ rispetto alla base DG dividiamo il triangolo CDG in due triangoli rettangoli con gli angoli di 30° e 60°. CJ è la metà di CG e JG è uguale a CJ per radice di 3.

L'area di ciascun triangolo isoscele è quindi:

e l'area dell'esagono è: