Rapporto tra aree
   

Indietro

Se indichiamo con l il lato del quadrato allora l'area del quadrato è:

Aq = l2

Tracciamo l'altezza EH del triangolo equilatero e il raggio FI del cerchio inscritto nel quadrato. FI è uguale alla metà del lato del quadrato ed è anche uguale ai due terzi dell'altezza del triangolo.

Se indichiamo con l' il lato del triangolo equilatero si ha:

L'area del triangolo equilatero è quindi:

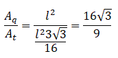
Determiniamo ora il rapporto tra le due aree: