Somma delle aree di infiniti cerchi
   

Indietro

  • Il raggio del cerchio inscritto nel quadrato ABCD misura l e quindi l'area del cerchio è:

    a1 = Π ⋅ l2

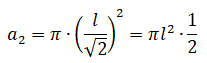
  • Il raggio del cerchio inscritto nel quadrato A1B1C1D1 misura l/√2

    E quindi l'area del cerchio è:

  • Il raggio del cerchio inscritto nel quadrato A2B2C2D2 misura l/√4 e quindi l'area del cerchio è:

  • Il raggio del cerchio inscritto nel quadrato A3B3C3D3 misura l/√8 e quindi l'area del cerchio è:

  • Il raggio del cerchio inscritto nel quadrato AnBnCnDn misura l/√2n e quindi l'area del cerchio è:

La somma delle aree degli n cerchi è:

Nella parentesi tonda è presente la somma dei primi n termini (a partire da a1=1) di una progressione geometrica di ragione q=1/2 e la loro somma per n che tende all'infinito è convergente ed è uguale a 2 e quindi la somma delle aree degli infiniti cerchi è: