Equazione 1
   

Indietro

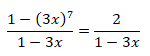
Scriviamo l'equazione nelle forma equivalente:

Il primo membro dell'equazione è la somma dei primi sette termini (a partire da a1=1) di una progressione geometrica di ragione q=3x e la loro somma è data da:

E sostituendo nell'equazione si ottiene:

Risolvendo si ha: