Indietro
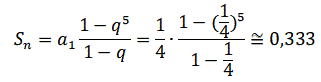
Come si vede dalla figura il quadrato colorato più grande è un quarto del quadrato ABCD e le aree dei cinque quadrati colorati formano una progressione geometrica di ragione 1/4. E quindi la somma di tutti i quadrati colorati è:
Come si vede dalla figura il quadrato colorato più grande è un quarto del quadrato ABCD e le aree dei cinque quadrati colorati formano una progressione geometrica di ragione 1/4.
E quindi la somma di tutti i quadrati colorati è: