Indietro
Se Arturo ha fatto 12 goal in 30 partite, vuol dire che la sua media reti a partita è stata: Ne segue che Giovanni ha fatto 0,6 goal a partita, in media, e poichè ha giocato 25 partite ha segnato in totale: 0,6 ⋅ 25 = 15 reti.
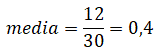
Se Arturo ha fatto 12 goal in 30 partite, vuol dire che la sua media reti a partita è stata:
Ne segue che Giovanni ha fatto 0,6 goal a partita, in media, e poichè ha giocato 25 partite ha segnato in totale:
0,6 ⋅ 25 = 15
reti.