Indietro
Se indichiamo con x il numero tolto allora la somma totale dei 34 numeri è: 35⋅22 - x Ora, il numero totale dei numeri è 34 e la nuova media dei numeri è 20; pertanto, la media dei 34 numeri è dato dalla media ponderata: E risolvendo si ottiene:
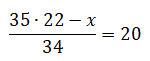
Se indichiamo con x il numero tolto allora la somma totale dei 34 numeri è:
35⋅22 - x
Ora, il numero totale dei numeri è 34 e la nuova media dei numeri è 20; pertanto, la media dei 34 numeri è dato dalla media ponderata:
E risolvendo si ottiene: