Peso del quinto pacco
   

Indietro

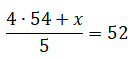
Se indichiamo con x il peso del quinto pacco allora il peso totale dei cinque pacchi è:

4⋅54 + x

Ora, il numero totale dei pacchi è 5 e la nuova media dei pacchi è 52; pertanto, il peso medio dei 5 pacchi è dato dalla media ponderata:

E risolvendo si ottiene: