Festa di compleanno
   

Indietro

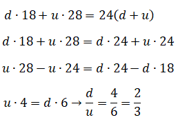
Se indichiamo con d il numero delle donne e con u il numero degli uomini che partecipano alla festa allora la somma totale delle età delle donne è:

d⋅18

e quella degli uomini è:

u⋅28

e il numero totale dei partecipanti alla festa è:

d + u

Pertanto, l'età media dei partecipanti alla festa è data dalla media ponderata:

E risolvendo si ottiene: