Area del quadrato
   

Indietro

I triangoli ABC, BED, ECF, ADG sono tutti simili avendo gli angoli corrispondenti congruenti:

Se consideriamo i triangoli simili ABC e BED possiamo scrivere la proporzione:

BE : BC = DE : AC

E risolvendo rispetto a BE si ha:

dove l è la misura del lato del quadrato. Se consideriamo i triangoli simili ABC e ECF possiamo scrivere la proporzione:

EC : AC = EF : AB

E risolvendo rispetto a EC si ha:

dove l è la misura del lato del quadrato. Essendo:

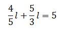
BE + EC = BC = 5

Possiamo scrivere:

E risolvendo rispetto a l si ottiene:

Pertanto, l'area del quadrato è: