Dimensioni del rettangolo
   

Indietro

Inseriamo le lettere e indichiamo con x la base AF del rettangolo blu AFIE.

Possiamo ora calcolare l'altra dimensione AE del rettangolo AFIE in funzione di x conoscendo l'area del rettangolo:

AE = 9/x

Se AF=x allora EN=x+1 e quindi possiamo calcolare l'altra dimensione ED del rettangolo ENHD in funzione di x conoscendo l'area del rettangolo:

ED = 20/(x+1)

Se ED = 20/(x+1) allora:

E quindi possiamo calcolare l'altra dimensione CH del rettangolo GCHM in funzione di x conoscendo l'area del rettangolo:

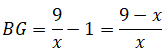
Se AE = 9/x allora:

E quindi possiamo calcolare l'altra dimensione BF del rettangolo GBFL in funzione di x conoscendo l'area del rettangolo:

Ora, conosciamo tutte le dimensione dei rettangoli in funxione di x:

L'area del rettangolo ABCD è data sia dalla somma delle aree dei quattro rettangoli e del quadrato centrale sia dal prodotto della base AB per l'altezza AD.

Eseguendo il prodoto e semplificando si ottiene all'equazione:

47x2 + 21x - 486 = 0

Che è verificata per x = 3 e x=-162/47 (quest'ultima soluzione non è accettabile essendo negativa). Sapendo che x=3 possiamo determinare le dimensioni del rettangolo ABCD: