Area della regione comune a due quadrati 2
   

Indietro

Tracciamo la parallela al lato AB passante per A':

I triangoli A'DE e A'FG sono triangoli rettangoli particolari con angoli di 30° e 60° e sono simili. Pertanto possiamo facilmente determinare le aree dei due triangoli e del rettangolo ABFE:

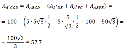
L'area della regione comune è data dalla differenza fra l'area del quadrato ABCD e la somma delle aree dei triangoli A'DE, A'FG e del rettangolo ABFE: