Area della regione colorata 4
   

Indietro

Tracciamo il segmento BE:

E consideriamo il trapezio ABED; I triangoli ADF e BEF sono equivalenti e i triangoli ABF e DEF sono simili avendo gli angoli corrispondenti congruenti. Il rapporto di similitudine tra ABF e DEF è 1/2 essendo AB = 2CE e quindi l'area del triangolo ABF è 4 volte l'area del triangolo DEF. Inoltre, l'area dei triangoli ADF e BEF è data dalla relazione:

Se indichiamo con X la misura dell'area del triangolo DEF possiamo scrivere:

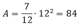
I triangoli ADE e BCE sono equivalenti e quindi anche l'area del triangolo BCE vale 3X. Pertanto, l'area della rgione colorata è i 7/12 dell'area del quadrato.

E quindi l'area della regione colorata è: