Area del trapezio
   

Indietro

I triangoli ADC e BDC sono equivalenti perchè hanno stessa base e stessa altezza. Ora, se ai due triangoli togliamo il triangolo comune DCE si ha che i triangoli ADE e BCE sono equivalenti. Inoltre, i triangoli ABE e CDE sono simili avendo gli angoli corrispondenti congruenti. Se indichiamo con A1, A2, A3, A4 le aree dei quattro triangoli come si vede in figura:

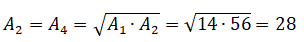
Possiamo scrivere:

E inserendo i dati si ottiene:

L'area del trapezio è quindi:

A = A1 + A2 + A3 + A4 = 56 + 28 + 14 + 28 = 126