Area della regione colorata 3
   

Indietro

Se tracciamo le mediane del quadrato possiamo osservare che la figura è simmetrica rispetto a 2 assi di simmetria:

Questo ci permette di poter ragionare inizialmente solo su un quarto di figura:

Tracciamo la diagolale AC e uniamo il vertice C con e punto medio di AB:

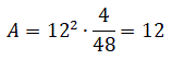
Il triangolo ABC è diviso dalle mediane AH, BF, CE in 6 triangoli congruenti: AGE, AGF, BGE, BGH, CGH, CGF. Il quadrato ABCD è diviso dalla diagolale AC in due triangoli congruenti: ABC e ADC. Se indichiamo con A1 l'area del triangolo colorato possiamo dire che l'area del quadrato ABCD è uguale a 12 volte A1. Tornando alla nostra figura iniziale possiamo quindi dire che la regione colorata rappresenta 4 parti su 48. Pertanto l'area della regione colorata è: