Bilancia squilibrata
   

Indietro



Una bilancia a due piatti è una leva di primo genere con i due bracci a e b uguali per cui quando i due piatti sono alla stessa altezza il peso dell'oggetto posto su uno qualsiasi dei due piatti è uguale al peso campione posto sull'altro piatto. E' evidente che l a bilancia costruita da Giulio non ha i bracci uguali e in particolare ha il braccio a più corto.

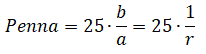
In tal caso il rapporto r tra i bracci a e b è minore di 1. Quando la penna viene messa sul piatto sinistro il suo peso è dato da:

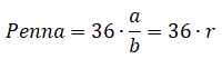
Invece, se la penna viene messa sul piatto destro il suo peso è dato da:

Uguagliando queste due relazioni possiamo determinare il valore di r:

E dunque il peso reale della penna è: