Rettangolo d'argento da foglio quadrato
   

Indietro

  • Pieghiamo il foglio in due parti in modo da far combaciare i due vertici opposti B e D, apriamo il foglio e portiamo il vertice B sulla diagonale AC;

    Apriamo il foglio e pieghiamolo nel punto E in modo che CD sia parallelo ad AB.

    Il rettangolo ABGF è d'argento perchè ha i lati in rapporto 1:√2. Possiamo facilmente verificarlo considerando la figura:

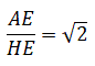
    Il triangolo AHE è rettangolo isoscele e quindi:

    E essendo AE=AB e HE=BG ne segue che il rapporto dei lati del rettangolo ABGF è uguale alla radice di due.