Rettangolo aureo da foglio quadrato
   

Indietro

  • Pieghiamo il foglio in due parti in modo da far combaciare i due lati orizzontali e poi apriamo il foglio;

  • Pieghiamo il foglio lungo EB e apriamo il foglio;

  • Portiamo il lato BC su EB e apriamo il foglio;;

  • Pieghiamo il foglio nel punto G in modo che AD sia parallelo a BC.

    Il rettangolo HBCG è aureo.

Verifichiamo che il rettangolo HBCG è aureo. Consideriamo la seguente figura:

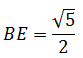
dove i triangoli BLI e BFI sono simmetrici rispetto a BG. Ne segue che IL=IF e BL=BF=1/2 considerando il quadrato ABCD di lato unitario. Applicando il teorema di Pitagora al triangolo BAE si ottiene:

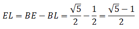
Ne segue che:

I triangoli BAE e EIL sono simili avendo gli angoli corrispondenti uguali e quindi:

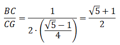
I triangoli BCG e BFI sono simili e essendo BC=2BF ne segue che GC=2IF=2IL. Calcoliamo il rapporto tra BC e CG:

E quindi il rapporto tra i lati del rettangolo HBCG è uguale al numero aureo.