Suddivisione in tre parti equivalenti
   

Indietro

Le due pieghe devono trisecare i lati del quadrato. Per individuare il punto che divide un lato nel rapporto 2 : 1 bisogna:

  • Piegare il quadrato lungo la diagonale e lungo la mediana.

  • Piegare lungo la linea EB e considerare il punto G di intersezione della piega con la diagonale.

  • Piegare il foglio verticalmente e orizzontalmente in modo che la traccia delle linee rette parallele ai lati BC e AB passi per il punto G.

    Il punto L divide il lato AB nel rapporto 2:1 e il punto H divide il lato AD nel rapporto 2:1.

Individuati i punti che trisecano i lati del quadrato pieghiamo lungo le linee CH e CL.

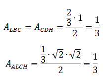
I triangoli LBC, CDH e il deltoide ALCH hanno la stessa area. Verifica, supponiamo che il quadrato abbia il lato unitario: