Due relazioni
   

Indietro

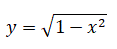
Indichiamo con x BG e con y GC' ne segue:

Applicando il teorema di Pitagora al triangolo BGC' possiamo determinare y in funzione di x:

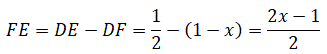
Il segmento FE è dato da:

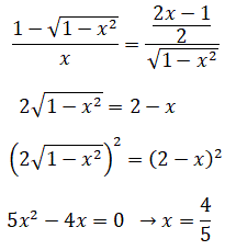
I triangoli rettangoli BGC' e C'FE sono simili avendo gli angoli corrispondenti uguali (FC'E=GBC', FEC'=GC'B) possiamo quindi scrivere:

E sostituendo y con la relazione precedente si ottiene un'equazione nella sola variabile x:

Pertanto: