Somma dei primi trenta numeri pentagonali
   

Indietro

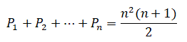
Soluzione:

Tenendo presenta la relazione:

Si ha: