Triangolo magico
   

Indietro

Indichiamo i nove numeri da inserire nei cerchi con le lettere:

a, b, c, d, e, f, g, h, i

Come si vede in figura e cerchiamo di scoprire quali valori può assumere la somma costante S.


Sommando i numeri presenti sui tre lati del triangolo si ha:

(a + b + c + d) + (d + e + f + g) + (g + h + i + a) = 3S

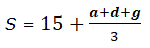
Tenendo conto di quante volte ciascuna lettera è ripetuta e che la somma dei numeri da 1 a 9 è uguale a 45 si ha:


Cioè:


Questo significa che a+d+g deve essere un multiplo di 3 e la costante deve essere maggiore di 15. Sostituendo alle lettere a, d, g i numeri 1, 2, 3 si ha:


Sostituendo invece alle lettere a, d, g i numeri 7, 8, 9 si ha:


La somma costante deve essere quindi maggiore o uguale a 17 e minore o uguale a 23. Vediamo se esiste una soluzione con costante 17 assegnando alle lettere a, d, g i numeri 1, 2, 3.


Dobbiamo quindi assegnare alle lettere:

b, c, e, f, h, i

i numeri 4, 5, 6, 7, 8, 9 in modo che si abbia:

b + c = 14;    e + f = 12;    h + i = 13

Le coppie di numeri che hanno somma 14 sono 8, 6 e 9, 5, quelle con somma 12 sono 7, 5 e 8, 4 e quelle con somma 13 sono 8, 5; 9, 4 e 7, 6. Combinando queste coppie di numeri si ottengono due soluzioni:


Vediamo se esiste una soluzione con costante 18. Dall'uguaglianza:


Si intuisce che la somma a + d + g deve essere uguale a 9. Le terne di numeri che hanno per somma 9 sono:

4, 3, 2;    5, 3, 1    e    6, 2, 1

Iniziamo ad assegnare alle lettere a, d, g i numeri 4, 3, 2 della prima terna.


Dobbiamo quindi assegnare alle lettere:

b, c, e, f, h, i

i numeri 1, 5, 6, 7, 8, 9 in modo che si abbia:

b + c = 13;    e + f = 11;    h + i = 12

Le coppie di numeri che hanno somma 13 sono 8, 5 e 7, 6, quella con somma 11 è 6, 5 e quella con somma 12 è 5, 7. Come si vede mancano i numeri 1 e 9 e quindi con la terna 2, 3, 4 non è possibile ottenere una soluzione.

Attribuiamo alle lettere a, d, g i numeri 5, 3, 1 della seconda terna.


Dobbiamo quindi assegnare alle lettere:

b, c, e, f, h, i

i numeri 2, 4, 6, 7, 8, 9 in modo che si abbia:

b + c = 10;    e + f = 14;    h + i = 12

Le coppie di numeri che hanno per somma 10 sono 8, 2 e 6, 4, quella con somma 14 è 8, 6 e quella con somma 12 è 8, 4. Mancano i numeri 7 e 9 e quindi anche con la terna 1, 3, 5 non è possibile ottenere una soluzione.

Applicando lo stesso procedimento possiamo verificare che nemmeno con la terna 6, 2, 1 è possibile ottenere una soluzione. In definitiva non esistono soluzioni con la costante 18. Invece esistono quattro soluzioni con costante 19:


Sei soluzioni con costante 20.


Quattro soluzioni con costante 21.


Nessuna soluzione con costante 22, due soluzioni con costante 23.