Parte colorata 6
   

Indietro


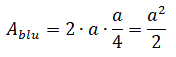
Traslando alcune parti come si vede in figura:

possiamo osservare che le parti colorate sono equivalenti a due rettangoli uguali con le dimensioni a e a/4 e quindi l'area della parte colorata blu è equivalente alla metà dell'area del quadrato di lato a: