Parte colorata 5
   

Indietro


Tracciamo le due corde e coloriamo le parti congruenti con lo stesso colore come si vede in figura.

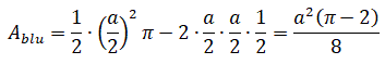
Ruotando opportunamente le parti colorate si ottengono due segmenti circolari congruenti a una sola base equivalente alla parte colorata iniziale. L'area dei due segmenti circolari è data dalla differenza tra il semicerchio di diametro a e dei due triangoli rettangoli isosceli congruenti di lato a/2.