Area della zona colorata
   

Indietro


Tracciamo le mediane del quadrato e la metà di una diagonale come si vede in figura.

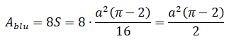
La parte colorata risulta divisa in otto parti congruenti e l'area di ciascuna parte può essere ottenuta togliendo dal settore circolare di ampiezza 45° e raggio a√2 l'area del triangolo rettangolo isoscele di lato a/2.

E l'area totale della zona colorata è: