Indietro
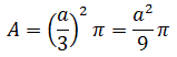
Tracciamo la bisettrice dell'angolo di 60°. Il triangolo ABO è rettangolo con gli angoli acuti di 30° e 60° e quindi l'ipotenusa AO è il doppio del cateto OB. Pertanto, il raggio del cerchio colorato è r=a/3 e quindi l'area del cerchio colorato è:
Tracciamo la bisettrice dell'angolo di 60°.
Il triangolo ABO è rettangolo con gli angoli acuti di 30° e 60° e quindi l'ipotenusa AO è il doppio del cateto OB. Pertanto, il raggio del cerchio colorato è r=a/3 e quindi l'area del cerchio colorato è: