Rapporto tra zone colorate
   

Indietro


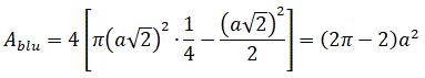
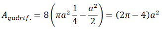
Indichiamo con a la metà del lato del quadrato e dalla figura:

Si capisce che l'area del quadrifoglio è uguale a otto volte il segmento circolare evidenziato in verde.

La zona blu del quesito è uguale a quattro volte il segmento circolare evidenziato in verde.

Come si vede le zone blu e le zone gialle hanno la stessa area e quindi il rapporto tra le due superficie è uguale a 1.