Raggi delle circonferenze
   

Indietro


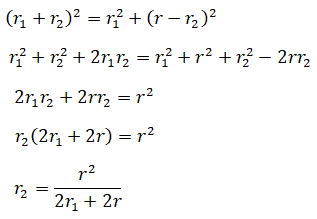
Dalla figura si intuisce che che r1 è la metà di r. Unendo i centri delle circonferenze di raggi r, r1 e r2 si ottiene il triangolo rettangolo ABC con i lati r1, r1+r2, r-r2.

E applicando il teorema di Pitagora si ha:

Essendo r1=r/2 sostituendo si ottiene:

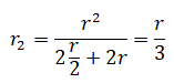
E quindi r2 è un terzo di r. Per determinare la relazione tra r e r3 consideriamo la figura:

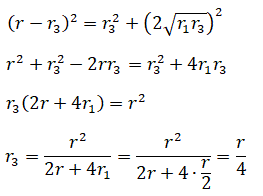
e il triangolo rettangolo DCE dove:

il cateto DC=r1-r3 e l'ipotenusa CE=r1+r3 e determiniamo il cateto ED:

Infine, consideriamo il triangolo rettangolo ADE che ha:

il cateto AD=r3, il cateto ED=2√(r1r3) e l'ipotenusa r-r3 e applichiamo il teorema di Pitagora:

E quindi r3 è un quarto di r.