Uovo
   

Indietro


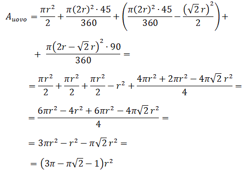
Come si può vedere dalla figura:

L'area dell'uovo si ottiene sommando le aree:

  • del semicerchio ABC di raggio r;

  • del settore circolare ACG di raggio 2r e ampiezza di 45°

  • del settore circolare EFG di raggio (2r-r√2) e ampiezza di 90°

  • del triangolo mistilineo EFC.

L'area del triangolo mistilineo si ottiene togliendo dall'area del settore circolare AFC l'area del triangolo rettangolo isoscele AEC.