Segmento circolare
   

Indietro


Il triangolo ABC in figura:

è equilatero e l'altezza AH è uguale a 3r. Possiamo allora determinare la lungnezza del lato AB del triangolo equilatero.

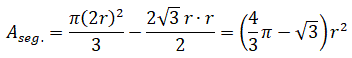
La parte colorata, che è un segmento circolare è data dall'area del settore circolare di ampiezza 120° e raggio 2r meno l'area del triangolo isoscele con base AB e altezza r.