Indietro
Spostando alcune parti colorate come si vede in figura: Possiamo renderci conto che l'area della parte colorata del quesito è uguale all'area del triangolo equilatero più l'area del cerchio di raggio a/4. pertanto la soluzione è:
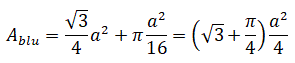
Spostando alcune parti colorate come si vede in figura:
Possiamo renderci conto che l'area della parte colorata del quesito è uguale all'area del triangolo equilatero più l'area del cerchio di raggio a/4. pertanto la soluzione è: