Rapporto fra due parti colorate
   

Indietro


Osserviamo la seguente figura:

Possiamo determinare l'area di S1 togliendo dall'area del quadrato di lato a/2 le due parti colorate in giallo e l'area di ogni parte colorata in giallo si ottiene togliendo dall'area del quadrato di lato a/2 l'area di un quarto di cerchio di raggio a/2.

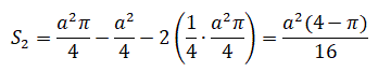
Consideriamo ora la superficie S2:

Possiamo determinare l'area di S2 togliendo dall'area del quarto di cerchio di raggio a il quadrato di lato a/2 e due volte il quarto di cerchio di raggio a/2 (quelli colorati in rosa).

Come si può osservare S1 = S2 e quindi il rapporto tra le due superficie è 1.