Rosetta
   

Indietro


Tracciamo tre segmenti e il triangolo equilatero in figura:

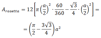
Come si vede la rosetta è composta da 12 segmenti circolari sottesi da una corda che è contemporaneamente un lato di un triangolo equilatero di lato a/2. Pertanto l'area della rosetta si ottiene moltiplicando per 12 un segmento circolare: